Implicațiile biomecanice de hipertrofie şi atrofie

Hipertrofia musculară este o adaptare comună la încărcarea mecanică, furnizată de obicei sub formă de programe pe termen lung de antrenament de rezistență. Atrofia musculară este un răspuns la neutilizare care apare rapid în urma unor perioade scurte de descărcare mecanică, care poate fi doar o săptămână de repaus strict la pat (Dirks et al., 2015). Atât hipertrofia musculară, cât și atrofia au implicații importante pentru populațiile clinice, generale, vârstnice și sportive, din cauza relației dintre măsurile de masă sau dimensiune musculară și o serie de rezultate de performanță și sănătate.
De exemplu, printre sportivii de forță, măsurarea masei musculare sau a mărimii sau dovedit a fi foarte buni predictori ai performanței in weightlifting, powerlifting si strongman(Brechue & Abe, 2002; Siahkouhian & Hedayatneja, 2010; Winwood, Keogh & Harris, 2012). La vârstnici, Janssen et al. (2004) au descoperit că nivelurile scăzute de masă musculară au fost puternic corelate cu un risc crescut de dizabilitate, Malkov et al. (2015) au raportat că reducerea mărimii mușchilor coapsei a fost asociată cu un risc crescut de fractură de șold, iar Srikanthan & Karlamangla (2014) au descoperit că nivelurile scăzute de masă musculară au fost asociate cu o mortalitate crescută de toate cauzele. În diferite populații clinice, au fost făcute rapoarte privind creșterea ratelor de mortalitate sau de reinternare la indivizii cu niveluri mai scăzute de masă musculară (Greening și colab., 2014; Streja și colab., 2011; Weijs și colab., 2014).
Relațiile dintre dimensiunea mușchilor sau mai precis aria secțiunii transversale a mușchilor (CSA) și măsurile de performanță sau dizabilitate sunt susținute de capacitatea unică a mușchilor de a produce forță, cu CSA musculară mai mare corespunzând unei producții mai mari de forță. La nivel individual de mușchi, forța este produsă de contracțiile fibrelor musculare individuale, care sunt adunate împreună în grupuri, cunoscute sub numele de fascicule. CSA musculară este măsurată în două moduri: CSA anatomic (ACSA) și CSA fiziologic (PCSA). ACSA este CSA musculară măsurată în plan perpendicular pe tendoanele sale (longitudinal axă), înregistrată în mod obișnuit în punctul cel mai larg de-a lungul mușchiului. PCSA este CSA musculară măsurată perpendicular pe fasciculele musculare, care poate varia pentru diferite părți ale unui mușchi penat.
Unghiul dintre axa longitudinală și direcția fasciculelor musculare este unghiul de pennație a fasciculului (θp). Componenta forței exercitate de fasciculele musculare este cos θp și prin urmare, pe măsură ce θp crește, aceasta duce la transmiterea progresivă a unei componente a forței musculare de-a lungul axei longitudinale către tendoane. În consecință, în cazul în care modificări ale PCSA musculare apar după o perioadă de oricare incărcare sau descărcare mecanică, efectul asupra forței musculare transmise tendoanelor va fi, de asemenea, afectat de orice modificări simultane ale θp, cu creșterile care apar în urma încărcării mecanice reducând efectul benefic al hipertrofiei, iar scăderile care apar în urma descărcarii atenuând unele dintre efectele adverse ale atrofiei. (Aagaard et al.,
2001; Erskine, Fletcher & Folland, 2014; Kawakami şi colab., 1995; Seynnes, De Boer & Narici, 2006). Pentru a prezice cu precizie momentele articulare, este important ca modelele musculo-scheletice să ia în considerare toate variabilele arhitecturale menționate mai sus.
Astfel de modificări ale mușchilor PCSA, ACSA, θp și lungimea fasciculelor care decurg din expunerea la încărcare mecanică au fost bine documentate (Aagaard și colab., 2001; Erskine, Fletcher & Folland, 2014; Kawakami și colab., 1995; Seynnes, De). Boer & Narici, 2006). Modificările care apar simultan în diferite măsuri de forță sunt adesea atribuite acestor modificări arhitecturale și morfologice, pe lângă adaptările neuronale (Behm, 1995).
Cu toate acestea, modificarea mărimii musculare pare a fi unul dintre cei mai importanți, dacă nu chiar cel mai important factor: Erskine, Fletcher & Folland (2014) au raportat că modificările atât ale volumului muscular, cât și ale ACSA musculare au fost puternic asociate cu creșterea contracției izometrice voluntare maxime (MVIC) după o perioadă de 12 săptămâni de antrenament de rezistență la flexorii cotului. Deși valorile forței MVIC raportate de Erskine, Fletcher & Folland (2014) au fost înregistrate folosind un traductor de forță liniar, ele sunt de fapt indicative pentru un moment net al articulației.
Cu toate acestea, este important de menționat că măsurile forței MVIC înregistrate extern folosind celule de sarcină (ca în Erskine, Fletcher & Folland (2014)) nu sunt identice cu forțele musculare izometrice produse intern, deoarece forța externă reflectă un moment net al articulației. Forța musculară izometrică internă este un produs al forței fibrei unice musculare (numită și tensiune specifică), PCSA și θp. Forța musculară izometrică internă este transmisă de-a lungul axei longitudinale a mușchilor prin tendoane pentru a acționa asupra oaselor de fiecare parte a articulației, unde creează un moment izometric în jurul articulației. Acest moment izometric al articulației este produsul dintre forța musculară izometrică internă și lungimea brațului de moment (MA). Lungimea MA este distanța perpendiculară dintre linia de acțiune a mușchilor și centrul de rotație al articulației. În consecință, modificările atât ale forței musculare izometrice interne, cât și ale lungimii MA pot afecta mărimea momentului maxim izometric al articulației care poate fi produs.
Deși ACSA musculară pare a fi un determinant cheie al producerii momentului MVIC, modificările lungimii MA care apar ca urmare fie a hipertrofiei, fie a atrofiei au fost mai puțin descrise. Cu toate acestea, se pare că există o relație între dimensiunea mușchilor agonist și MA asociată cu acțiunea articulară. Sugisaki și colab. (2010) și Akagi și colab. (2012) au descris o corelație pozitivă între dimensiunea mușchilor și mușchi
MA lungime. Aceste descoperiri sugerează că mușchii mai mari sunt susceptibili de a beneficia de un MA mai lung și în consecință, că hipertrofia poate duce la creșterea lungimii MA și atrofia la scăderea lungimii MA, ceea ce poate avea efecte asupra momentului articular care depășesc modificările forței musculare. Într-adevăr, Sugisaki și colab. (2015) au observat o creștere mică a lungimii MA a lui triceps brachii după hipertrofie de aproximativ 5,5%, deși au considerat-o mică și posibil neglijabilă.
Deoarece relația dintre lungimea MA și dimensiunea mușchilor nu este pe deplin înțeleasă, scopul acestei lucrări este de a dezvolta un model matematic bidimensional pentru a descrie modul în care modificările ACSA ale flexorilor proximali ai cotului modifică lungimea MA, θp și contribuțiile momentului articular.
REZULTATE

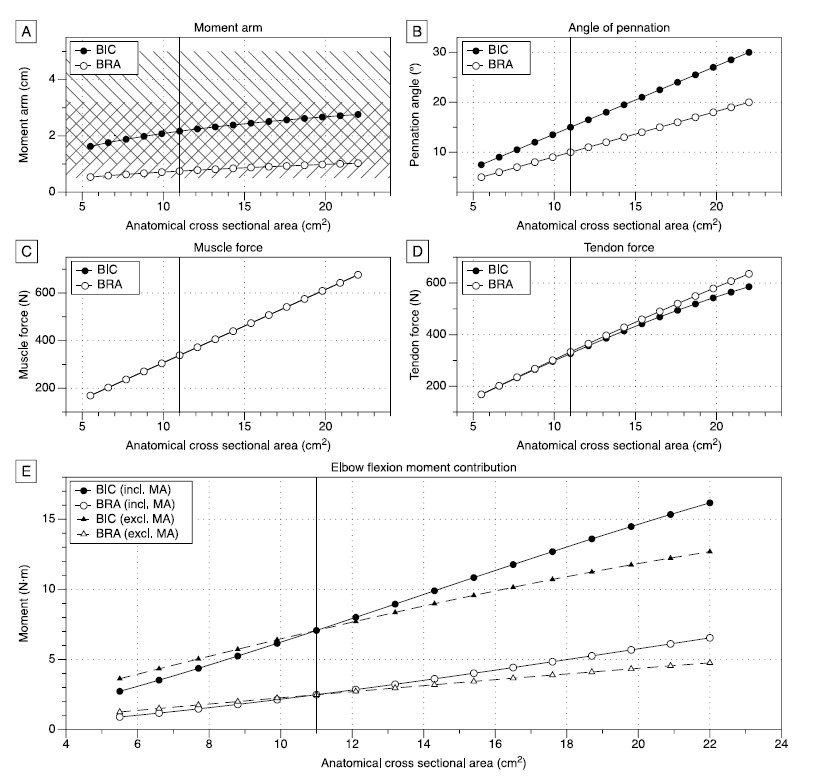
Figura 2 Variabile biomecanice în funcție de aria secțiunii transversale anatomice. (O relație
între zona secțiunii transversale anatomice a bicepsului brahial și brațul de moment muscular. Liniile cu pantă negativă sunt MA-uri BIC normale, iar liniile cu panta pozitivă sunt MA-uri BRA empirice (Ramsay, Hunter & Gonzalez, 2009).
(B) Unghiurile de pennație ale BIC și BRA cresc liniar odată cu creșterile ACSA.
(C) Forța musculară crește cu ACSA. (Ploturile BIC sunt dedesubt și sunt identice cu diagramele BRA.)
(D) Forța tendonului crește cu ACSA.
(E) Contribuțiile momentului de flexie al cotului ale BIC și BRA cu modificări ale ACSA, atât cu și fără modificări ale lungimii MA. Liniile verticale la 11,0 cm2 indică linia de bază.
Lungimile MA ale BIC și BRA la momentul inițial în acest model au fost în limitele raportate anterior în unele studii (An și colab., 1981; Ramsay, Hunter & Gonzalez, 2009) și deși pot părea mai scurte decât cele raportate de alții, cercetătorii (Amis, Dowson & Wright, 1979; An et al., 1981; Edgerton, Apor & Roy, 1990; Pauwels, 1980), majoritatea studiilor nu au raportat lungimile MA în aceleași poziții articulare utilizate pentru acest model.
Mai mult, lungimile MA raportate în acest model sunt similare cu cele modelate anterior de Murray, Delp & Buchanan (1995) (Fig. 2A). Creșterile unghiurilor de pennație reflectă valorile și tendințele raportate anterior, prin aceea că unghiul de pennație crește liniar cu creșterile ACSA (Erskine, Fletcher & Folland, 2014; Ikegawa și colab., 2007; Kawakami, Abe și Fukunaga, 1993; Kawakami și colab. , 1995) (Fig. 2B). Studiile de antrenament coroborează creșterea descrisă a contribuțiilor momentului de flexie al cotului, deoarece s-a demonstrat că momentele nete de flexie ale cotului cresc liniar odată cu creșterile ACSA (Erskine et al., 2010a; Erskine et al., 2010b).
După cunoștințele autorilor, acesta este primul model care descrie efectele hipertrofiei și atrofiei musculare asupra lungimii MA. A evidențiat modificări importante ale lungimii MA ale BIC și BRA cu creșteri ale ACSA (Figurile 2A și 2E). Cercetările anterioare au atribuit doar creșterile producției nete de moment articular efectelor hipertrofiei asupra forței musculare (Aagaard et al., 2001; Erskine, Fletcher & Folland, 2014), ignorând în același timp potențialele modificări ale lungimii MA, așa cum este descris de modelul nostru. În mod intuitiv, această modificare a lungimii MA trebuie să fie o funcție de modificare a unghiului de inserție, deoarece punctul de inserție nu se poate deplasa.
Această creștere a unghiului de inserție are loc pe măsură ce dimensiunea suprafetei musculare crește, deplasând astfel vectorul rezultat al mușchiului mai departe de humerus și în consecință, de centrul articulației. Acest lucru este exemplificat de ACSA la momentul inițial (11,0 cm2) corespunzătoare lungimii MA de 0,75 cm și, respectiv, 2,17 cm pentru BRA și, respectiv, BIC, în timp ce ACSA a musculaturii dublează această dimensiune (22,0 cm2) corespunde lungimii MA de 1,03 cm și 2,76 cm pentru BRA și respectiv BIC (Tabelul 1, Fig. 3). Cu alte cuvinte, pentru o creștere de 100% a ACSA, lungimile MA ale BIC și BRA cresc cu 27,2%, respectiv 37,3%.
Modificarea modelată a lungimii MA pentru BIC și BRA în această poziție particulară a articulației (adică articulația radio-ulnară neutră în extensia cotului) este proporțională cu arcsinusul rădăcinii pătrate a modificării ACSA (ΔMA ∝ arcsin( √ ΔACSA)). Acest lucru se datorează faptului că lungimile sunt proporționale cu rădăcina pătrată a zonei în care sunt conținute (ca în ecuația (2)), în timp ce arcsinus controlează componenta perpendiculară (ca în ecuația (6)). Relația observată de Sugisaki și colab. (2015) elucidează cât de subtile pot fi modificări ale lungimii MA, deoarece o creștere cu 33,6% a ACSA a lui triceps brachii a fost însoțită de o creștere cu 5,5% a lungimii MA. Nu este clar dacă alți mușchi, articulații sau unghiuri articulare s-ar comporta similar sub hipertrofie, deoarece aceste rezultate nu pot fi extrapolate.
Deși creșterea lungimii MA pare a fi benefică pentru rezistența statică sau cvasi-statică, poate fi dăunătoare mișcărilor dinamice de mare viteză. Acest lucru este paradoxal, deoarece o lungime MA mai mare ar trebui să fie utilă pentru a produce un moment net mai mare al articulației, care ar putea fi de așteptat să crească accelerația unghiulară, indiferent de unghiul articulației.
Cu toate acestea, din cauza proprietăților biomecanice ale mușchilor, acesta nu este cazul.
Mai exact, în conformitate cu relația hiperbolică forță-viteză, poate fi dezvoltată mai puțină forță în timpul unei acțiuni dinamice a mușchilor cu viteză mare decât în timpul unei viteze lente sau acţiunea musculară izometrică (Hill, 1938). Se crede că relația forță-viteză poate apărea ca urmare a unui număr de factori, inclusiv numărul de punți transversale (Piazzesi et al., 2007), frecarea fluidului sau vâscozitatea (Gasser & Hill, 1924; Hill, 1922). ), ratele de disociere a adenozin difosfat (ADP) (Nyitrai et al., 2006) și tensiune elastică pasivă la lungimi mari (Abbott & Wilkie, 1953).

Figura 3 Ilustrarea modificărilor în lungimea brațului momentului ale lui biceps brachii și brachialis cu creșterea ariei secțiunii transversale anatomice. Prin dublarea ariei secțiunii transversale anatomice a bicepsului brachii și brahialis, brațele de moment ale fiecăruia cresc cu 27,2%, respectiv 37,3%.
Cu toate acestea, indiferent de mecanismele de bază, Nagano & Komura (2003) au arătat că o lungime mai scurtă a MA este benefică pentru acțiunile musculare dinamice cu viteză mare, deoarece o anumită modificare a lungimii în mușchi va determina în mod necesar o lungime articulară mai mare. În consecință, cu o lungime mai scurtă a MA, se poate produce mai multă forță musculară, deoarece este necesară o modificare mai scurtă a lungimii, ceea ce necesită o mai mică viteza de contracție. Matematic, aceasta poate fi descrisă prin ecuația pentru lungimea MA, unde dl este modificarea instantanee a lungimii MTU și dθ este modificarea instantanee a deplasării unghiulare a articulației (în radiani) (Ecuația (8)). Cu o lungime MA mai mare , o modificare mai mare a lungimii MTU trebuie să aibă loc pentru aceeași modificare a deplasării unghiulare a articulației, ceea ce ar necesita o viteză de contracție mai mare. Interacțiunile ramificațiilor unui MA crescut asupra vitezei unghiulare și accelerației unghiulare necesită investigații suplimentare, și poate avea mai multe implicații importante, specifice sportului sau sarcinii.
LIMITĂRI
Au existat o serie de limitări inerente acestui studiu care au apărut din ipotezele din care au fost făcute. S-a presupus că nu a existat nicio modificare a lungimii fasciculului muscular sau a tendonului în timpul producerii momentelor contributive de flexie, calculate ale articulației a cotului, dar s-au observat modificări atât în lungimea fasciculului muscular cât și în alungirea tendonului in vivo, în tibialis anterior (Ito și colab., 1998). În mod similar, s-a presupus că nu a avut loc niciun transfer de forță miofascială între flexorii cotului, deși s-a observat că există sunt mai multe moduri în care acest lucru ar putea avea loc (Huijing&Jaspers, 2005).
Modelul nostru nu a presupus nicio modificare în NMF, care afectează direct calculele forței musculare și prin urmare, contribuțiile momentului articular. Deși producția de forță crește de obicei într-o măsură mai mare decât ACSA, unele studii au raportat reduceri ale forței normalizate în urma antrenamentului de rezistență, deși nu în flexorii cotului (Ikegawa și colab., 2007; Kawakami şi colab., 1995; Sale, Martin & Moroz, 1992). Când se analizează studiile efectuate în flexorii cotului, este totuși evident că forța normalizată de obicei fie crește (Brandenburg & Docherty, 2002; Vikne și colab., 2006) fie rămâne constantă (Narici & Kayser). , 1995; Takarada şi colab., 2000). Aceste constatări echivoce indică faptul că modelul nostru poate reflecta sau nu modificările tipice ale forței normalizate așteptate în timpul antrenamentului de rezistență pentru flexorii cotului, care pot apărea din cauza factorilor centrali care influențează câștigurile de forță sau modificările periferice care afectează tensiunea specifică unei singure fibre.
Într-adevăr, deși excluse din ipotezele noastre, studiile au arătat creșteri ale tensiunii specifice unei singure fibre folosind atât modele in vivo (Erskine și colab., 2011; Erskine și colab., 2010a; Erskine și colab., 2010b), cât și modele in vitro (Erskine și colab., 2010b). al., 2011; Pansarasa et al., 2009; 2008) urmând protocoale de antrenament cu rezistență, care nu au fost însoțite neapărat de hipertrofie musculară. Modificările tensiunii specifice observate in vivo indică faptul că modificările fie ale transmiterii forței laterale extracelulare, fie ale densității de împachetare miofibrilare ar putea sa fie responsabil pentru modificări ale forței normalizate, în timp ce modificările observate in vitro pot fi explicate probabil doar prin modificări ale densității de împachetare miofibrilare. În plus, s-a raportat că modificările tensiunii specifice apar în tandem cu atrofia și astfel de modificări par să fie asociate cu o densitate redusă a împachetarii miofibrilare (Riley et al., 1998). Cu toate acestea, nu este clar dacă aceleași mecanisme sunt implicate în alterarea tensiunii specifice cu încărcarea și descărcarea mecanică.
Utilizarea unui cilindru pentru a modela BIC și BRA nu este neapărat complet precisă, dar formele cilindrice au fost folosite în modelele musculare anterioare, cum ar fi gastrocnemius(Van der Linden și colab., 1998). Cu toate acestea, în ciuda acestui punct, aceeași relație matematică propusă ar rămâne în continuare cu alte forme neregulate, deoarece toate distanțele liniare dintr-o secțiune transversală sunt legate de rădăcina pătrată a ariei acelei secțiuni transversale.
Modelul nostru a presupus că nu au existat modificări ale lungimii fasciculului, modificări ale proporției suprafeței tipului de fibre sau schimbări ale tipului de fibre, ale fibrelor musculare individuale. Cu toate acestea, cercetările anterioare indică faptul că se produc modificări în lungimea fasciculului (Baroni et al., 2013; Blazevich et al., 2003; Reeves et al., 2009) și în ceea ce privește zonele de tipuri de fibre musculare proporționale (Campos și colab., 2002; Schuenke și colab., 2012; Staron și colab., 1991), deși literatura de specialitate este în prezent echivocă în ceea ce privește natura exactă a acestor răspunsuri atât la antrenamentul de rezistență, cât și la neutilizare atrofie (De Souza et al., 2014; Kawakami et al., 1995). În plus, efectul tipului de fibre musculare asupra forței maxime este probabil mai puțin important decât efectul său asupra forței dinamice, deoarece tensiunea specifică a fibrelor musculare de tip I și tip II nu este în mod normal găsită a fi substanțial diferită (de exemplu, Harber & Trappe, 2008). ), dar există adesea o diferență marcată raportată în viteza de contracție a mușchilor (de exemplu, Harber & Trappe, 2008). Cu toate acestea, se poate argumenta că modelul este mai robust și lipsit de posibili factori de confuzie, deoarece variabilele menționate mai sus nu au fost incluse, deci nu trebuie să fie „excluse”.
În plus, deși sunt excluse în ipotezele noastre, este de așteptat să apară modificări ale activării voluntare sau co-contracției agoniste în urma perioadelor de încărcare sau descărcare mecanică. Într-adevăr, unele studii au raportat creșteri mici ale activării voluntare în urma antrenamentului de rezistență (Ekblom, 2010; Erskine și colab., 2010b), care poate implica faptul că încărcarea mecanică implică modificări ale impulsului neuronal.
Dacă este posibil ca astfel de creșteri să aibă un impact substanțial asupra câștigurilor de forță, având în vedere că nivelurile de activare voluntară de > 93% sunt observate frecvent la subiecții tineri, neantrenați înainte de a începe antrenamentul de rezistență (Erskine și colab., 2010b; Power et al., 2015; Venturelli). et al., 2015) pare discutabilă. Cu toate acestea, există unele dovezi că activarea voluntară este redusă la vârstnici, posibil în urma unor perioade susținute de neutilizare care duc la atrofie (Klass, Baudry & Duchateau, 2007) și există dovezi că astfel de reduceri in activarea voluntară poate fi inversată în urma unor programe susținute de antrenament de rezistență (Arnold & Bautmans, 2014).
Efectul modificărilor co-contracției antagoniste în urma perioadelor de încărcare și descărcare mecanică este mult mai puțin clar. Nu pare să existe nicio diferență între activitatea de co-contracție antagonistă între indivizii antrenați și neantrenați (Maeo și colab., 2013), nici activitatea de co-contracție antagonistă nu se modifică în urma antrenamentului la tineri (Maeo și colab., 2014) sau bătrâni. (Arnold & Bautmans, 2014) indivizi. La fel ca și modificările caracterelor fasciculelor și fibrelor, se poate susține de asemenea, că prin neincluderea acestor adaptări neuronale, modelul include mai puține variabile posibile de confuzie. Prin urmare, modificările modelate ale forțelor și momentelor se datorează strict caracteristicilor arhitecturale incluse în model.
În sfârșit, și poate cel mai important, acest model a examinat doar doi mușchi într-o singură poziție a articulației (adică neutru). Este probabil ca odată cu schimbarea pozițiilor comune, relația să se schimbe (Murray, Delp & Buchanan, 1995). De exemplu, în timpul flexiei cotului, lungimile MA BIC și BRA sunt mai mari, deoarece unghiul de inserție se apropie de 90◦, astfel încât o hipertrofie mai mare poate fi dezavantajoasă pentru lungimea MA în astfel de poziții, deoarece poate deplasa unghiul de inserare mai departe de 90◦. Cu toate acestea, astfel de circumstanțe încă nu au fost descrise și modelate.
CONCLUZII
Contribuția modificărilor ACSA la contribuțiile momentului articular în urma hipertrofiei și atrofiei rezultate din încărcarea și descărcarea mecanică nu sunt pe deplin înțelese și nici implicațiile modificărilor concomitente ale lungimii MA.
Acest model a fost primul care a descris modul în care se modifică ACSA în urma hipertrofiei sau atrofiei BIC și BRA ar putea modifica lungimea MA și modul în care ambele modificări ale ACSA și lungimea MA ar putea avea un impact asupra contribuțiilor relative ale momentului de flexie a cotului în pozițiile neutre ale articulației radioulnare și ale cotului.
Rezultatele acestui model trebuie interpretate cu prudență, deoarece rezultatele prezise (și anume, lungimile MA) nu au fost demonstrate in vivo.
În plus, doar o singură poziție articulară (neutră) a fost investigată pe doi mușchi, astfel încât rezultatele nu pot fi extrapolate la alți mușchi sau poziții articulare. Cu toate acestea, acest model poate servi ca un instrument eficient pentru generarea de ipoteze care pot informa cercetările experimentale cu implicații biomecanice.
By. Bitanu-Alexandru Sebastian-Alin
Referinte:
Aagaard P, Andersen JL, Dyhre-Poulsen P, Leffers AM,Wagner A,Magnusson SP,
Halkjaer-Kristensen J, Simonsen EB. 2001. A mechanism for increased contractile strength
of human pennate muscle in response to strength training: changes in muscle architecture. The
Journal of Physiology 534:613–623 DOI 10.1111/j.1469-7793.2001.t01-1-00613.x.
Abbott BC,Wilkie DR. 1953. The relation between velocity of shortening and the tension-length
curve of skeletal muscle. Journal of Physiology 120:214–223
DOI 10.1113/jphysiol.1953.sp004886.
Akagi R, Iwanuma S, Hashizume S, Kanehisa H, Yanai T, Kawakami Y. 2012. In vivo
measurements of moment arm lengths of three elbow flexors at rest and during isometric
contractions. Journal of Applied Biomechanics 28(1):63–69.
Amis A, Dowson D,Wright V. 1979. Muscle strengths and musculoskeletal geometry of the upper
limb. Engineering in Medicine 8:41–48 DOI 10.1243/EMED JOUR 1979 008 010 02.
An KN, Hui FC,Morrey BF, Linscheid RL, Chao EY. 1981. Muscles across the elbow joint: A
biomechanical analysis. Journal of Biomechanics 14:659–669
DOI 10.1016/0021-9290(81)90048-8.
Arnold P, Bautmans I. 2014. The influence of strength training on muscle activation in
elderly persons: a systematic review and meta-analysis. Experimental Gerontology 58:58–68
DOI 10.1016/j.exger.2014.07.012.
Baroni BM, Geremia JM, Rodrigues R, De Azevedo Franke R, Karamanidis K, Vaz MA. 2013.
Muscle architecture adaptations to knee extensor eccentric training: rectus femoris vs. vastus
lateralis. Muscle and Nerve 48:498–506 DOI 10.1002/mus.23785.
Behm DG. 1995. Neuromuscular implications and applications of resistance training. Journal of
Strength and Conditioning Research 9(4):264–274 DOI 10.1519/00124278-199511000-00014.
Blazevich AJ, Gill ND, Bronks R, Newton RU. 2003. Training-specific muscle architecture
adaptation after 5-wk training in athletes. Medicine and Science in Sports and Exercise
35:2013–2022 DOI 10.1249/01.MSS.0000099092.83611.20.
Brandenburg JP, Docherty D. 2002. The effects of accentuated eccentric loading on strength,
muscle hypertrophy, and neural adaptations in trained individuals. Journal of Strength and
Conditioning Research 16:25–32.
Brechue WF, Abe T. 2002. The role of FFM accumulation and skeletal muscle architecture
in powerlifting performance. European Journal of Applied Physiology 86:327–336
DOI 10.1007/s00421-001-0543-7.
Cage DJN, Abrams RA, Callahan JJ, Botte MJ. 1995. Soft tissue attachments of the ulnar coronoid
process: an anatomic study with radiographic correlation. Clinical Orthopaedics and Related
Research 320:154–158.
Campos GE, Luecke TJ,Wendeln HK, Toma K, Hagerman FC,Murray TF, Ragg KE,
Ratamess NA, Kraemer WJ, Staron RS. 2002. Muscular adaptations in response to three
different resistance-training regimens: specificity of repetition maximum training zones.
European Journal of Applied Physiology 88:50–60 DOI 10.1007/s00421-002-0681-6.
De Souza EO, Tricoli V, Aoki MS, Roschel H, Brum PC, Bacurau AV, Silva-Batista C,Wilson JM,
Neves Jr M, Soares AG, Ugrinowitsch C. 2014. Effects of concurrent strength and endurance
training on genes related to myostatin signaling pathway and muscle fiber responses. Journal of
Strength and Conditioning Research 28:3215–3223 DOI 10.1519/JSC.0000000000000525.
Dirks M,Wall B, Goossens G, Van de Valk B, Van Loon L. 2015. One week of bed-rest
substantially reduces muscle mass and induces insulin resistance in healthy, young males.
The FASEB Journal 29:825–827.
Edgerton VR, Apor P, Roy RR. 1990. Specific tension of human elbow flexor muscles. Acta
Physiologica Hungarica 75:205–216.
EkblomMM. 2010. Improvements in dynamic plantar flexor strength after resistance training are
associated with increased voluntary activation and V-to-M ratio. Journal of Applied Physiology
109:19–26 DOI 10.1152/japplphysiol.01307.2009.
Erskine RM, Fletcher G, Folland JP. 2014. The contribution of muscle hypertrophy to strength
changes following resistance training. European Journal of Applied Physiology 114:1239–1249
DOI 10.1007/s00421-014-2855-4.
Erskine RM, Jones DA,Maffulli N,Williams AG, Stewart CE, Degens H. 2011. What causes in
vivo muscle specific tension to increase following resistance training? Experimental Physiology
96:145–155 DOI 10.1113/expphysiol.2010.053975.
Erskine RM, Jones DA,Williams AG, Stewart CE, Degens H. 2010a. Inter-individual variability
in the adaptation of human muscle specific tension to progressive resistance training. European
Journal of Applied Physiology 110:1117–1125 DOI 10.1007/s00421-010-1601-9.
Erskine RM, Jones DA,Williams AG, Stewart CE, Degens H. 2010b. Resistance training increases
in vivo quadriceps femoris muscle specific tension in young men. Acta Physiologica 199:83–89
DOI 10.1111/j.1748-1716.2010.02085.x.
Gasser H, Hill A. 1924. The dynamics of muscular contraction. Proceedings of the Royal Society of
London B: Biological Sciences 96:398–437 DOI 10.1098/rspb.1924.0035.
Greening N, Harvey-Dunstan T,Williams J,Morgan M, Singh S, Steiner M. 2014. Lower limb
muscle mass using ultrasound predicts re-hospitalisation following admission for acute
exacerbations of chronic respiratory disease [Abstract]. European Respiratory Journal 44:417.
Harber M, Trappe S. 2008. Single muscle fiber contractile properties of young competitive distance
runners. Journal of Applied Physiology 105:629–636 DOI 10.1152/japplphysiol.00995.2007.
Hill A. 1922. The mechanism of muscular contraction. Physiological Reviews 2:310–341.
Hill AV. 1938. The heat of shortening and the dynamic constants of muscle. Proceedings of the
Royal Society B: Biological Sciences 126(843):136–195 DOI 10.1098/rspb.1938.0050.
Huijing PA, Jaspers RT. 2005. Adaptation of muscle size and myofascial force transmission: a
review and some new experimental results. Scandinavian Journal of Medicine and Science in
Sports 15:349–380 DOI 10.1111/j.1600-0838.2005.00457.x.
Ikai M, Fukunaga T. 1968. Calculation of muscle strength per unit cross-sectional area of
human muscle by means of ultrasonic measurement. Internationale Zeitschrift f¨ur Angewandte
Physiologie Einschliesslich Arbeitsphysiologie 26:26–32.
Ikegawa S, Funato K, Tsunoda N, Kanehisa H, Fukunaga T, Kawakami Y. 2007. Muscle force per
cross-sectional area is inversely related with pennation angle in strength trained athletes. Journal
of Strength and Conditioning Research 22:128–131 DOI 10.1519/JSC.0b013e31815f2fd3.
Ito M, Kawakami Y, Ichinose Y, Fukashiro S, Fukunaga T. 1998. Nonisometric behavior of
fascicles during isometric contractions of a human muscle. Journal of Applied Physiology
85:1230–1235.
Janssen I, Baumgartner RN, Ross R, Rosenberg IH, Roubenoff R. 2004. Skeletal muscle cutpoints
associated with elevated physical disability risk in older men and women. American Journal of
Epidemiology 159:413–421 DOI 10.1093/aje/kwh058.
Kawakami Y, Abe T, Fukunaga T. 1993. Muscle-fiber pennation angles are greater in
hypertrophied than in normal muscles. Journal of Applied Physiology 74:2740–2744.
Kawakami Y, Abe T, Kuno SY, Fukunaga T. 1995. Training-induced changes in muscle
architecture and specific tension. European Journal of Applied Physiology and Occupational
Physiology 72:37–43 DOI 10.1007/BF00964112.
Kawakami Y, Nakazawa K, Fujimoto T, Nozaki D,Miyashita M, Fukunaga T. 1994.
Specific tension of elbow flexor and extensor muscles based on magnetic resonance
imaging. European Journal of Applied Physiology and Occupational Physiology 68:139–147
DOI 10.1007/BF00244027.
Klass M, Baudry S, Duchateau J. 2007. Voluntary activation during maximal contraction
with advancing age: a brief review. European Journal of Applied Physiology 100:543–551
DOI 10.1007/s00421-006-0205-x.
Maeo S, Takahashi T, Takai Y, Kanehisa H. 2013. Trainability of muscular activity level during
maximal voluntary co-contraction: comparison between bodybuilders and nonathletes. PLoS
ONE 8:e79486 DOI 10.1371/journal.pone.0079486.
Maeo S, Yoshitake Y, Takai Y, Fukunaga T, Kanehisa H. 2014. Effect of short-term maximal
voluntary co-contraction training on neuromuscular function. International Journal of Sports
Medicine 35:125–134 DOI 10.1055/s-0033-1349137.
Malkov S, Cawthon PM, Peters KW, Cauley JA,Murphy RA, Visser M,Wilson JP, Harris T,
Satterfield S, Cummings S, Shepherd JA, Health ABCS. 2015. Hip fractures risk in older men
and women associated with DXA-derived measures of thigh subcutaneous fat thickness,
cross-sectional muscle area, and muscle density. Journal of Bone and Mineral Research
30:1414–1421 DOI 10.1002/jbmr.2469.
Mazzocca AD, Cohen M, Berkson E, Nicholson G, Carofino BC, Arciero R, Romeo AA.
2006. The anatomy of the bicipital tuberosity and distal biceps tendon. Journal of
shoulder and elbow surgery/American Shoulder and Elbow Surgeons [et al] 16:122–127
DOI 10.1016/j.jse.2006.04.012.
Murray WM, Buchanan TS, Delp SL. 2002. Scaling of peak moment arms of elbow
muscles with upper extremity bone dimensions. Journal of Biomechanics 35:19–26
DOI 10.1016/S0021-9290(01)00173-7.
Murray WM, Delp SL, Buchanan TS. 1995. Variation of muscle moment arms with elbow and
forearm position. Journal of Biomechanics 28:513–525 DOI 10.1016/0021-9290(94)00114-J.
Nagano A, Komura T. 2003. Longer moment arm results in smaller joint moment development,
power and work outputs in fast motions. Journal of Biomechanics 36:1675–1681
DOI 10.1016/S0021-9290(03)00171-4.
Narici MV, Kayser B. 1995. Hypertrophic response of human skeletal muscle to strength training
in hypoxia and normoxia. European Journal of Applied Physiology and Occupational Physiology
70:213–219 DOI 10.1007/BF00238566.
Nygaard E, Houston M, Suzuki Y, Jorgensen K, Saltin B. 1983. Morphology of the brachial
biceps muscle and elbow flexion in man. Acta Physiologica Scandinavica 117:287–292
DOI 10.1111/j.1748-1716.1983.tb07208.x.
Nyitrai M, Rossi R, Adamek N, Pellegrino MA, Bottinelli R, Geeves MA. 2006. What limits
the velocity of fast-skeletal muscle contraction in mammals? Journal of Molecular Biology
355:432–442 DOI 10.1016/j.jmb.2005.10.063.
Pansarasa O, Rinaldi C, Parente V,Miotti D, Capodaglio P, Bottinelli R. 2009. Resistance
training of long duration modulates force and unloaded shortening velocity of single
muscle fibres of young women. Journal of Electromyography and Kinesiology 19:e290–e300
DOI 10.1016/j.jelekin.2008.07.007.
Parente V, D’Antona G, Adami R,Miotti D, Capodaglio P, De Vito G, Bottinelli R. 2008.
Long-term resistance training improves force and unloaded shortening velocity of single
muscle fibres of elderly women. European Journal of Applied Physiology 104:885–893
DOI 10.1007/s00421-008-0845-0.
Pauwels F. 1980. Biomechanics of the locomotor apparatus: contribution on the functional anatomy
of the locomotor apparatus. Berlin: Springer-Verlag.
Piazzesi G, Reconditi M, Linari M, Lucii L, Bianco P, Brunello E, Decostre V, Stewart A,
Gore DB, Irving TC, Irving M, Lombardi V. 2007. Skeletal muscle performance determined
by modulation of number of myosin motors rather than motor force or stroke size. Cell
131:784–795 DOI 10.1016/j.cell.2007.09.045.
Power GA,Makrakos DP, Stevens DE, Rice CL, Vandervoort AA. 2015. Velocity dependence
of eccentric strength in young and old men: the need for speed! Applied Physiology,
Nutrition, and Metabolism Physiologie Appliqu´ee, Nutrition et M´etabolisme 40:703–710
DOI 10.1139/apnm-2014-0543.
Ralston HJ, Polissar MJ, Inman VT, Close JR, Feinstein B. 1949. Dynamic features of human
isolated voluntary muscle in isometric and free contractions. Journal of Applied Physiology 1(7):
526–533.
Ramsay JW, Hunter BV, Gonzalez RV. 2009. Muscle moment arm and normalized moment
contributions as reference data for musculoskeletal elbow and wrist joint models. Journal of
Biomechanics 42:463–473 DOI 10.1016/j.jbiomech.2008.11.035.
Reeves ND,Maganaris CN, Longo S, Narici MV. 2009. Differential adaptations to eccentric
versus conventional resistance training in older humans. Experimental Physiology 94:825–833
DOI 10.1113/expphysiol.2009.046599.
Riley DA, Bain JL, Thompson JL, Fitts RH,Widrick JJ, Trappe SW, Trappe TA, Costill DL. 1998.
Disproportionate loss of thin filaments in human soleus muscle after 17-day bed rest. Muscle
and Nerve 21:1280–1289
DOI 10.1002/(SICI)1097-4598(199810)21:10<1280::AID-MUS6>3.0.CO;2-7.
Sale DG,Martin JE,Moroz DE. 1992. Hypertrophy without increased isometric strength after
weight training. European Journal of Applied Physiology and Occupational Physiology 64:51–55
DOI 10.1007/BF00376440.
Schuenke MD, Herman JR, Gliders RM, Hagerman FC, Hikida RS, Rana SR, Ragg KE,
Staron RS. 2012. Early-phase muscular adaptations in response to slow-speed versus
traditional resistance-training regimens. European Journal of Applied Physiology 112:3585–3595
DOI 10.1007/s00421-012-2339-3.
Seynnes OR, De Boer M, Narici MV. 2006. Early skeletal muscle hypertrophy and architectural
changes in response to high-intensity resistance training. Journal of Applied Physiology
102:368–373 DOI 10.1152/japplphysiol.00789.2006.
Shiba R, Sorbie C, Siu DW, Bryant JT, Cooke TD,Wevers HW. 1987. Geometry of the
humeroulnar joint. Journal of Orthopaedic Research 6:897–906 DOI 10.1002/jor.1100060614.
Siahkouhian M, Hedayatneja M. 2010. Correlations of anthropometric and body composition
variables with the performance of young elite weightlifters. Journal of Human Kinetics
25:125–131 DOI 10.2478/v10078-010-0040-3.
Srikanthan P, Karlamangla AS. 2014. Muscle mass index as a predictor of longevity in older
adults. American Journal of Medicine 127:547–553 DOI 10.1016/j.amjmed.2014.02.007.
Staron RS, Leonardi MJ, Karapondo DL,Malicky ES, Falkel JE, Hagerman FC, Hikida RS. 1991.
Strength and skeletal muscle adaptations in heavy-resistance-trained women after detraining
and retraining. Journal of Applied Physiology 70:631–640.
Streja E,Molnar MZ, Kovesdy CP, Bunnapradist S, Jing J, Nissenson AR,Mucsi I,
Danovitch GM, Kalantar-Zadeh K. 2011. Associations of pretransplant weight and muscle
mass with mortality in renal transplant recipients. Clinical Journal of the American Society of
Nephrology 6:1463–1473 DOI 10.2215/CJN.09131010.
Sugisaki N,Wakahara T,Miyamoto N,Murata K, Kanehisa H, Kawakami Y, Fukunaga T.
2010. Influence of muscle anatomical cross-sectional area on the moment arm length of
the triceps brachii muscle at the elbow joint. Journal of Biomechanics 43(14):2844–2847
DOI 10.1016/j.jbiomech.2010.06.013.
Sugisaki N,Wakahara T,Murata K,Miyamoto N, Kawakami Y, Kanehisa H, Fukunaga T. 2015.
Influence of muscle hypertrophy on the moment arm of the triceps brachii muscle. Journal of
Applied Biomechanics 31(2):111–116 DOI 10.1123/JAB.2014-0126.
Takarada Y, Takazawa H, Sato Y, Takebayashi S, Tanaka Y, Ishii N. 2000. Effects of resistance
exercise combined with moderate vascular occlusion on muscular function in humans. Journal
of Applied Physiology 88:2097–2106.
Van der Linden BJ, Koopman HF, Grootenboer HJ, Huijing PA. 1998. Modelling functional
effects of muscle geometry. Journal of Electromyography and Kinesiology 8:101–109
DOI 10.1016/S1050-6411(97)00026-6.
Venturelli M, Saggin P,Muti E, Naro F, Cancellara L, Toniolo L, Tarperi C, Calabria E,
Richardson RS, Reggiani C, Schena F. 2015. In vivo and in vitro evidence that intrinsic upperand
lower-limb skeletal muscle function is unaffected by ageing and disuse in oldest-old
humans. Acta Physiologica 215:58–71 DOI 10.1111/apha.12524.
Vikne H, Refsnes PE, Ekmark M,Medbo JI, Gundersen V, Gundersen K. 2006. Muscular
performance after concentric and eccentric exercise in trained men. Medicine and Science in
Sports and Exercise 38:1770–1781 DOI 10.1249/01.mss.0000229568.17284.ab.
Weijs PJ, LooijaardWG, Dekker IM, Stapel SN, Girbes AR, Oudemans-van Straaten HM,
Beishuizen A. 2014. Low skeletal muscle area is a risk factor for mortality in mechanically
ventilated critically ill patients. Critical Care 18:R12 DOI 10.1186/cc13189.
West DW, Burd NA, Tang JE,Moore DR, Staples AW, Holwerda AM, Baker SK, Phillips SM.
2010. Elevations in ostensibly anabolic hormones with resistance exercise enhance neither
training-induced muscle hypertrophy nor strength of the elbow flexors. Journal of Applied
Physiology 108(1):60–67 DOI 10.1152/japplphysiol.01147.2009.
Winwood PW, Keogh JW, Harris NK. 2012. Interrelationships between strength,
anthropometrics, and strongman performance in novice strongman athletes. Journal of Strength
and Conditioning Research 26:513–522 DOI 10.1519/JSC.0b013e318220db1a.
Vigotsky